Planning for the future is important, and creating a will is a crucial part of that process. A will ensures that your wishes are carried out and your assets are distributed according to your desires after you pass away. Many people put off creating a will because they think it’s complicated or expensive, but with a free printable will worksheet PDF, you can easily get started on this important task.
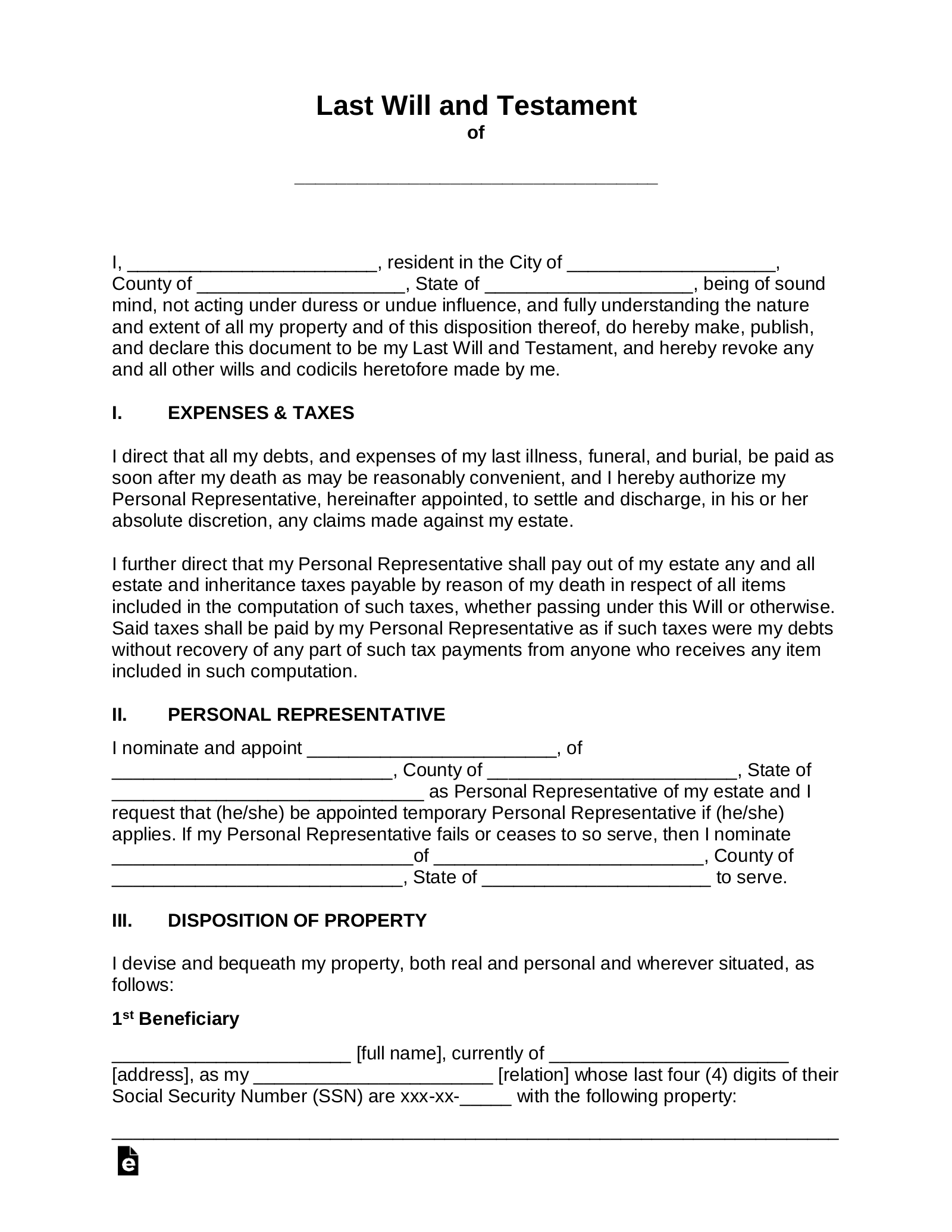
One of the easiest ways to create a will is to use a free printable will worksheet PDF. These worksheets are readily available online and provide a simple template that you can fill out with your personal information and wishes. By using a worksheet, you can ensure that you cover all the important aspects of your will, such as naming beneficiaries, appointing an executor, and specifying funeral arrangements.
When filling out a printable will worksheet, it’s important to be thorough and specific. Make sure to clearly state who will inherit your assets and how they should be divided. You should also designate a guardian for any minor children and specify any special requests or instructions you may have. Reviewing and updating your will regularly is also essential to ensure that it reflects your current circumstances and wishes.
Another benefit of using a printable will worksheet PDF is that it can help you organize your financial and personal information in one place. This can be helpful for your loved ones in the event of your passing, as it provides a clear overview of your assets, debts, and other important details. Having all this information in one document can make the probate process smoother and less stressful for your family.
Creating a will is an important step in planning for the future and ensuring that your wishes are carried out. With a free printable will worksheet PDF, you can easily get started on this task and take control of your estate planning. Don’t wait until it’s too late – download a printable will worksheet today and start creating your will.
In conclusion, using a free printable will worksheet PDF is a simple and effective way to create a will and ensure that your assets are distributed according to your wishes. By taking the time to fill out a worksheet and review your will regularly, you can provide peace of mind for yourself and your loved ones. Start planning for the future today by using a printable will worksheet to guide you through the process.
