AP Physics 1 is a challenging course that requires students to understand complex concepts and apply them to real-world situations. One of the key topics in this course is average velocity, which is the rate at which an object changes its position over a certain period of time. To help students practice and master this concept, teachers often provide them with worksheets that involve calculating average velocity in different scenarios.
These worksheets not only help students improve their problem-solving skills but also reinforce their understanding of the fundamental principles of physics. By working through various problems related to average velocity, students can develop a deeper appreciation for the role of velocity in describing the motion of objects.
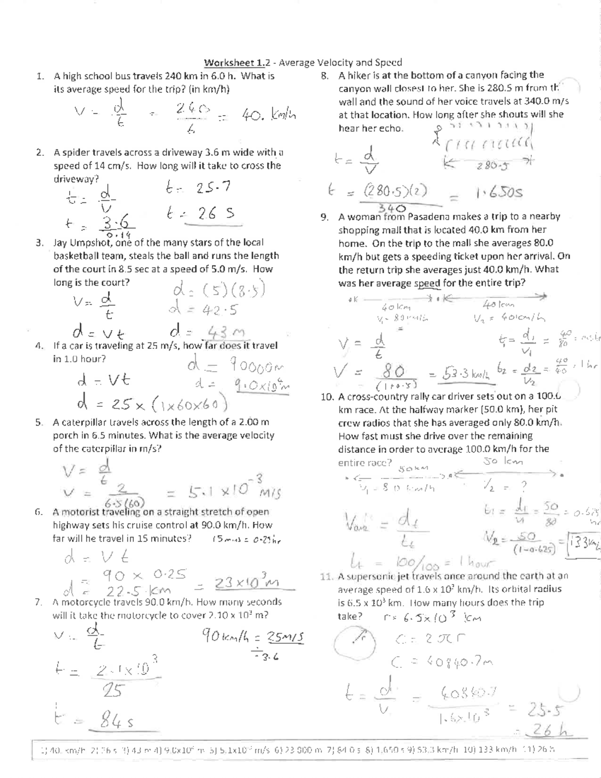
Average Velocity Worksheet AP Physics 1
One common type of problem found in average velocity worksheets is calculating the average velocity of an object moving in a straight line. Students are given information about the initial and final positions of the object, as well as the time it takes to travel between these positions. By using the formula for average velocity (change in position divided by change in time), students can determine the average velocity of the object.
Another type of problem involves determining the average velocity of an object that is moving with varying speeds. In these scenarios, students need to calculate the total distance traveled by the object and the total time taken, and then use these values to find the average velocity. This type of problem requires students to understand how to handle situations where the velocity of an object is not constant.
Students may also encounter problems that involve interpreting graphs of position vs. time or velocity vs. time. By analyzing these graphs and understanding the relationship between position, velocity, and time, students can determine the average velocity of an object over a given interval. These problems help students develop their graph-reading skills and deepen their understanding of how velocity is represented graphically.
Overall, average velocity worksheets in AP Physics 1 serve as valuable tools for students to practice and reinforce their understanding of this important concept. By working through a variety of problems that require them to calculate average velocity in different scenarios, students can improve their problem-solving skills and gain a deeper insight into the role of velocity in describing the motion of objects.
In conclusion, average velocity worksheets in AP Physics 1 play a crucial role in helping students master the concept of average velocity and its applications in real-world situations. By engaging with these worksheets and solving a variety of problems, students can enhance their understanding of velocity and its significance in the study of physics.
